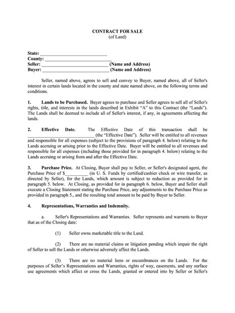
Caroline Fay Blog